1. FROM THE NEWTONIAN WORLDVIEW TO TOPOLOGY
Current educational systems operate on a Newtonian logic: linear, static, and fragmented. When applied to autistic children, this logic treats them as "broken machines" in need of repair.
In contrast, through the lens of Topology, every child is a unique manifold. Autistic children are not "broken"; they possess a spatial mental structure that is significantly more complex than the norm. Behavioral "abnormalities" are, in fact, the results of high Curvature in information processing.
.png)
2. APPLYING RICCI FLOW: "SMOOTHING" THE CRISIS
PGS. Nguyen Thac Dung’s research focuses on how Ricci Flow smooths out manifolds. In the education of autistic children, we apply this mechanism to regulate emotional meltdowns.
The Operational Mechanism:
When an autistic child experiences sensory overload, the mental "curvature" spikes at a specific point. Instead of applying external pressure (which only increases curvature), we utilize VEM (Vibrating Energy Mastery) to create a heat-conductive energy flow:
-
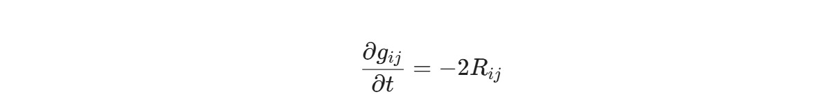
The Governing Equation:
-
The Practice: Utilizing balance exercises (Heaven - Earth - Human) to activate the Five Centers (Ngũ Tâm). When the Bách Hội (Apex), Lao Cung (Palms), and Dũng Tuyền (Soles) are connected through the spinal axis, energy begins to "flow" from areas of high pressure (conflict) to areas of low pressure (peace), smoothing out emotional spikes.
3. KNOT THEORY & LMO INVARIANTS: UNCOVERING THE "GENIUS CORE"
GS. Le Tu Quoc Thang proved that every 3-dimensional space has a universal "signature." For autistic children, this is the Personal Frequency Signature.
Identifying the "Genius Core":
-
Even as a child’s environment changes (Topological transformation), the core "Knot" of their identity remains unchanged.
-
Take, for example, Guinness World Record holders like Nguyễn Khắc Hưng or Phạm Thành Nam: These children possess intellectual "knots" that are incredibly stable in specific fields (mathematics, memory, music).
-
The CTI (Crucial Talent Incubator) Mission: Our goal is not to change that knot, but to identify the child's LMO Invariant—the immutable energy core—to build a personalized training roadmap rather than forcing them into a mass-market mold.
4. G4DC STRATEGY (GAMIFIED 4-DIMENSION COACHING)
Applying topology to practical training through four dimensions of interaction to create a "Neural Superhighway":
-
Top–Down: Ricci Flow from the mentor (high frequency) to the student (turbulent frequency).
-
Bottom–Up: Allowing the child’s identity "Knot" to self-define their learning space.
-
Peer–to–Peer (Resonance): Manifolds interacting with each other, creating positive quantum entanglement.
-
Self–Coaching: The child masters their own energy flow through VEM exercises (e.g., balancing objects or VEM 113 juggling).
(2).png)
5. CONCLUSION: FROM "BURDEN" TO QUANTUM ASSETS
Autistic children are living proof that humans are not linear entities. When we stop viewing them through a "pathological" lens and start using a Quantum Geometric lens:
The Ultimate Goal: Shifting from "curing a disorder" to "harvesting special human resources," transforming children with severe autism into future world-record holders and Quantum Leaders.